Gradient Descent Intuition

This document provides an intuitive understanding of gradient descent, focusing on the learning rate, derivatives, and their impact on parameter updates in machine learning models.

Introduction

Now let's dive more deeply into gradient descent to gain better intuition about what it's doing and why it might make sense. Here's the gradient descent algorithm that you saw in the previous part.

GDI1

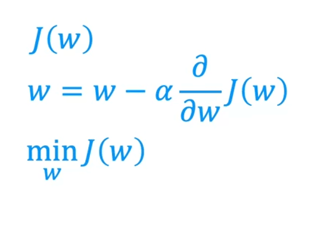
As a reminder, this variable, this Greek symbol Alpha, is the learning rate. The learning rate controls how big of a step you take when updating the model's parameters, w and b. This term here, this \frac{d}{dw}, is a derivative term. By convention in math, this d is written with this funny font here.

GDI2

In case anyone watching this has a PhD in math or is an expert in multivariate calculus, they may be wondering, that's not the derivative, that's the partial derivative. Yes, they would be right. But for the purposes of implementing a machine learning algorithm, I'm just going to call it the derivative. Don't worry about these little distinctions.

Key Notes

What we're going to focus on now is getting more intuition about what this learning rate and what this derivative are doing and why when multiplied together like this, it results in updates to parameters w and b. That makes sense. In order to do this, let's use a slightly simpler example where we work on minimizing just one parameter.

Let's say that you have a cost function J of just one parameter w with w being a number.

Wnew=WαwJ(w)W_{new} = W - \alpha \cdot \frac{\partial}{\partial w} J(w)

You're trying to minimize the cost by adjusting the parameter w.

GDI3

This is similar to our previous example, where we had temporarily set b equal to 0 and worked with just one parameter w instead of two. You can look at two-dimensional graphs of the cost function J, instead of three-dimensional ones.

Examples

Let's look at what gradient descent does on just function J of w.

GDI4

Here on the horizontal axis is parameter w, and on the vertical axis is the cost J(w). Now let's initialize gradient descent with some starting value for w. Let's initialize it at this location. Imagine that you start off at this point right here on the function J. What gradient descent will do is it will update w to be

Wnew=WαwJ(w)W_{new} = W - \alpha \cdot \frac{\partial}{\partial w} J(w)

Let's look at what this derivative term here means. A way to think about the derivative at this point on the line is to draw a tangent line, which is a straight line that touches this curve at that point. Enough, the slope of this line is the derivative of the function J at this point. To get the slope, you can draw a little triangle like this.

GDI5

If you compute the height divided by the width of this triangle, that is the slope. For example, this slope might be 2 over 1 , which means when the tangent line is pointing up and to the right, the slope is positive, which means that this derivative is a positive number, so it is greater than 0.

If you take w minus a positive number, you end up with a new value for w, that's smaller. On the graph,

Wnew=W2W_{new} = W - 2

means that if you started at 5, you would move down to 3.

Special Topics

Visualizing Gradient Descent

When visualizing gradient descent, it's helpful to think about the topography of the cost function J. The shape of this function will guide how w is updated.

GDI6

Here, the landscape shows peaks and valleys. Gradient descent will follow the slope down to the lowest point, adjusting w accordingly.

Role of Learning Rate

The learning rate is crucial in determining how quickly or slowly gradient descent converges to the minimum. A small learning rate means slow convergence but a high chance of accuracy, while a large learning rate might speed up convergence but can lead to overshooting the minimum.

Working

To summarize the workings of gradient descent

  1. Start with an initial value for w.
  2. Calculate the cost function J(w).
  3. Compute the derivative
wJ(w) \frac{\partial}{\partial w} J(w)\
  1. Update w using the learning rate and the derivative.
  2. Repeat the process until w converges to a minimum value for J(w).

This iterative approach continues until the change in w is negligible, indicating convergence.

Convergence: WnewWold<ϵ\text{Convergence: } \lvert W_{new} - W_{old} \rvert < \epsilon

In this case, (\epsilon) is a small threshold value you set, indicating how close to the minimum you want to get before stopping the algorithm.

Conclusion

Now you have a better understanding of gradient descent, focusing on the learning rate and derivatives, as well as how to visualize and implement the algorithm. This foundational knowledge will be crucial as you delve deeper into more complex machine learning concepts.

Stay tuned for the next section, where we'll explore additional concepts related to gradient descent and their applications!

On this page

Edit on Github Question? Give us feedback